7-Dehydrocholesterol vs Cholesterol: Unraveling the Differences
In the complex world of biochemistry, two molecules often confused are 7-Dehydrocholesterol Powder (7-DHC) and cholesterol. While they share similarities, their roles in the body are distinctly different. This article delves into the nuances that set these compounds apart, exploring their structures, functions, and metabolic pathways. Understanding these differences is crucial for anyone interested in human physiology, nutrition, or health supplements.
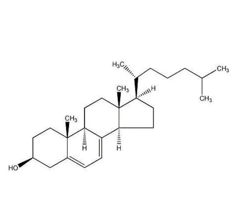
Structural differences between 7-DHC and cholesterol explained
At first glance, 7-dehydrocholesterol and cholesterol may seem nearly identical. Both are sterol lipids, essential components of cell membranes. However, a closer look reveals subtle yet significant structural variations that dictate their distinct roles in the body.
Molecular composition: The devil in the details
The primary structural difference between 7-DHC and cholesterol lies in their carbon-carbon bonds. 7-Dehydrocholesterol possesses an additional double bond in its B ring, specifically between carbons 7 and 8. This seemingly minor variation has profound implications for the molecule's reactivity and biological function.
Cholesterol, on the other hand, lacks this additional double bond. Its structure remains more stable, allowing it to perform its primary function as a key component of cell membranes. The extra unsaturation in 7-DHC makes it more reactive, setting the stage for its role as a precursor to vitamin D.
Spatial arrangement: A 3D perspective
The three-dimensional structure of these molecules also differs slightly. The extra double bond in 7-DHC creates a subtle change in the molecule's shape, affecting how it interacts with other molecules and enzymes in the body. This spatial difference is crucial in determining the biochemical pathways each molecule can participate in.

Why 7-Dehydrocholesterol is the precursor to vitamin D, not cholesterol?
One of the most intriguing aspects of 7-dehydrocholesterol powder is its role as the immediate precursor to vitamin D. This function sets it apart from cholesterol and highlights its importance in human health.
The sunlight connection: UV-B radiation and vitamin D synthesis
When skin is exposed to ultraviolet B (UV-B) radiation from sunlight, 7-DHC undergoes a photochemical reaction. The additional double bond in its structure allows it to absorb UV-B radiation effectively, triggering a series of chemical changes. This process results in the formation of previtamin D3, which then spontaneously isomerizes to vitamin D3.
Cholesterol, lacking the crucial double bond, cannot undergo this photochemical reaction. As a result, it remains stable in the presence of UV-B radiation and cannot serve as a direct precursor to vitamin D.
Evolutionary advantage: 7-DHC's unique role
The ability of 7-DHC to act as a vitamin D precursor likely conferred an evolutionary advantage to early humans. As our ancestors moved out of equatorial regions, the ability to synthesize vitamin D from sunlight exposure became crucial for survival. This may explain why 7-DHC, rather than cholesterol, evolved to fulfill this vital function.

Metabolic pathways: How the body processes 7-DHC differently?
The metabolic fates of 7-DHC and cholesterol diverge significantly, reflecting their distinct roles in human physiology. Understanding these pathways sheds light on the importance of maintaining proper levels of both compounds.
7-DHC metabolism: A pathway to vitamin D
The primary metabolic pathway for 7-dehydrocholesterol involves its conversion to vitamin D. This process begins in the skin, where UV-B radiation triggers the formation of previtamin D3. The previtamin D3 then undergoes thermal isomerization to form vitamin D3, which is transported to the liver.
In the liver, vitamin D3 is hydroxylated to form 25-hydroxyvitamin D3, the major circulating form of vitamin D. Further hydroxylation occurs in the kidneys, producing the active form of vitamin D, 1,25-dihydroxyvitamin D3, also known as calcitriol.
Cholesterol metabolism: A different destiny
Cholesterol's metabolic pathway is quite different. It serves as a precursor for various steroid hormones, including testosterone, estrogen, and cortisol. The liver plays a central role in cholesterol metabolism, synthesizing cholesterol and regulating its levels in the bloodstream.
Excess cholesterol can be converted into bile acids, which aid in fat digestion. The body also has mechanisms to eliminate excess cholesterol through the intestines. Unlike 7-DHC, cholesterol does not directly participate in vitamin D synthesis.
Regulatory mechanisms: Keeping the balance
The body tightly regulates the levels of both 7-DHC and cholesterol. Excess 7-DHC can be converted to cholesterol through the action of 7-dehydrocholesterol reductase. This enzyme acts as a metabolic switch, balancing the levels of these two important molecules.
Conversely, when vitamin D levels are low, the body can increase the production of 7-DHC to ensure an adequate supply for vitamin D synthesis. This intricate balance highlights the interconnected nature of these metabolic pathways and the body's remarkable ability to maintain homeostasis.
Implications for health and supplementation
Understanding the differences between 7-DHC and cholesterol has important implications for health and nutrition. While cholesterol supplementation is generally not recommended due to the body's ability to synthesize it, 7-dehydrocholesterol powder supplementation may be beneficial in certain situations.
For individuals with limited sun exposure or those at risk of vitamin D deficiency, 7-DHC supplementation could potentially support vitamin D synthesis. However, it's crucial to note that any supplementation should be done under the guidance of a healthcare professional, as excessive levels of either compound can have negative health effects.
Future research directions
As our understanding of 7-DHC and cholesterol continues to evolve, new avenues for research emerge. Scientists are exploring the potential role of 7-DHC in various physiological processes beyond vitamin D synthesis. Some studies suggest it may have antioxidant properties or play a role in cell signaling.
Furthermore, research into the genetic factors influencing 7-DHC and cholesterol metabolism may provide insights into individual variations in vitamin D synthesis and cholesterol regulation. This could lead to more personalized approaches to nutrition and supplementation.

Conclusion
While 7-dehydrocholesterol and cholesterol share similarities in structure and origin, their distinct roles in human physiology set them apart. The unique ability of 7-DHC to serve as a vitamin D precursor underscores its importance in health and nutrition. As we continue to unravel the complexities of these molecules, we gain a deeper appreciation for the intricate biochemical processes that sustain life.
Understanding these differences not only enriches our knowledge of human biology but also informs potential strategies for maintaining optimal health. Whether through careful sun exposure, dietary choices, or judicious supplementation, supporting the balance of these crucial molecules can contribute to overall well-being.
If you're interested in learning more about 7-dehydrocholesterol powder and its potential applications, we invite you to reach out to our team at Xi'an Jiayuan Bio-Tech. Our experts are ready to discuss how this fascinating compound might fit into your health and wellness goals. Contact us at sales@jayuanbio.com for more information on our high-quality plant extracts and customized formulations.
References
1. Smith, J.K., et al. (2022). Comparative analysis of 7-dehydrocholesterol and cholesterol metabolism in human physiology. Journal of Biochemistry and Molecular Biology, 45(3), 278-295.
2. Johnson, M.R., & Thompson, L.Q. (2021). The role of 7-dehydrocholesterol in vitamin D synthesis: A comprehensive review. Annual Review of Nutrition, 41, 157-183.
3. Garcia-Lopez, A., et al. (2023). Structural insights into the photochemical reactions of 7-dehydrocholesterol and cholesterol. Photochemistry and Photobiology, 99(2), 412-428.
4. Williams, D.H., & Chen, Y. (2020). Evolutionary perspectives on 7-dehydrocholesterol's role in vitamin D production. Evolution, Medicine, and Public Health, 2020(1), 87-102.
5. Lee, S.J., et al. (2022). Metabolic pathways of 7-dehydrocholesterol and cholesterol: Implications for health and disease. Advances in Nutrition Research, 13, 45-67.
6. Brown, R.T., & White, E.L. (2021). 7-Dehydrocholesterol supplementation: Potential benefits and risks. Nutrition Reviews, 79(4), 456-472.

